Skip to main content
U.S. flag

An official website of the United States government.

Here’s how you know

Dot gov

The .gov means it’s official.
Federal government websites often end in .gov or .mil. Before sharing sensitive information, make sure you’re on a federal government site.

Https

The site is secure.
The https:// ensures that you are connecting to the official website and that any information you provide is encrypted and transmitted securely.

United States Department of Labor
U.S. Department of Labor
Office of Workers' Compensation Programs
FAQ Contact Us
submenu
  • FEDERAL EMPLOYEES
  • NUCLEAR WEAPONS WORKERS
  • COAL MINE WORKERS
  • LONGSHORE AND DBA
  • MEDICAL PROVIDERS

    Back

      • Medical Providers
        • Medical Bill Processing Portal
        • OWCP Fee Schedules
        • Federal Employees Medical Providers
        • Nuclear Weapons Workers Medical Providers
        • Coal Mine Workers Medical Providers
        • Longshore and DBA Medical Providers
  • ABOUT OWCP

    Back

      • About OWCP
        • Organization Chart
        • Leadership
        • Annual Report to Congress
        • News Releases
        • OWCP Blog
        • Procedure Manual
        • Career Opportunities
        • History
        • Advisory Board on Toxic Substances and Worker Health
  • CONTACT OWCP

    Back

      • Contact OWCP
        • Federal Employees
        • Nuclear Weapons Workers
        • Coal Mine Workers
        • Longshore and DBA
        • Medical Providers
        • Freedom of Information Act
        • Report Fraud, Waste and Abuse
Breadcrumb
  • OWCP
  • Energy Workers Program
  • EEOICP Bulletins

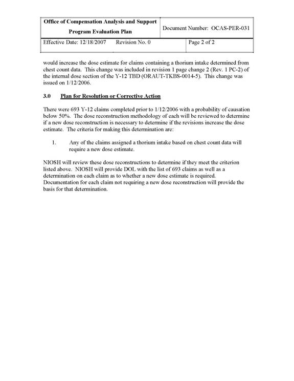
EEOICP Bulletin No 08-29 Attachment 1


Scroll to Top
  • Federal Employees
  • Nuclear Weapons Workers
  • Coal Mine Workers
  • Longshore and DBA
  • Medical Providers
United States Department of Labor
Office of Workers' Compensation Programs

An agency within the U.S. Department of Labor

200 Constitution Ave NW
Washington, DC 20210
1-866-4-USA-DOL
1-866-487-2365

www.dol.gov

Federal Government
  • White House
  • Disaster Recovery Assistance
  • DisasterAssistance.gov
  • USA.gov
  • No Fear Act Data
  • U.S. Office of Special Counsel
Labor Department
  • About DOL
  • Guidance Search
  • Español
  • Office of Inspector General
  • A to Z Index
About The Site
  • Freedom of Information Act
  • Privacy & Security Statement
  • Disclaimers
  • Important Website Notices
  • Plug-Ins Used on DOL.gov
  • Accessibility Statement